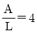
KS B 0801에서 4호 시험편의 치수를 따르지 못할 경우 표점거리(L)와 평행부의 단면적(A)의 관계로 옳은 것은?
문제풀이 모드
0
정답률 : -
KS B 0801에서 4호 시험편의 치수를 따르지 못할 경우 표점거리(L)와 평행부의 단면적(A)의 관계로 옳은 것은?




채점하기
KS B 0801에서 4호 시험편의 치수를 따르지 못할 경우 표점거리(L)와 평행부의 단면적(A)의 관계로 옳은 것은?



