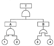
FT도에서 시스템의 신뢰도는 얼마인가? (단, 모든 부품의 발생확률은 0.1 이다.)
속성암기 모드
0
정답률 : -
FT도에서 시스템의 신뢰도는 얼마인가? (단, 모든 부품의 발생확률은 0.1 이다.)

0.0033
0.0062
0.9981
0.9936
채점하기
FT도에서 시스템의 신뢰도는 얼마인가? (단, 모든 부품의 발생확률은 0.1 이다.)

0.0033
0.0062
0.9981
0.9936