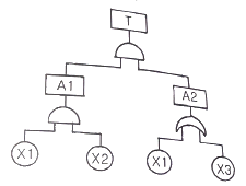
FT도에서 최소 컷셋을 올바르게 구한 것은?
속성암기 모드
0
정답률 : 25%
FT도에서 최소 컷셋을 올바르게 구한 것은?

(XI, X2)
(X1, X3)
(X2, X3)
(X1, X2, X3)
채점하기
FT도에서 최소 컷셋을 올바르게 구한 것은?

(XI, X2)
(X1, X3)
(X2, X3)
(X1, X2, X3)