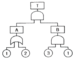
그림과 같은 FT도에 대한 최소 컷셋(minimal cut sets)으로 옳은 것은? (단, Fussell의 알고리즘을 따른다…
속성암기 모드
0
정답률 : 42%
그림과 같은 FT도에 대한 최소 컷셋(minimal cut sets)으로 옳은 것은? (단, Fussell의 알고리즘을 따른다.)

{1, 2}
{1, 3}
{2, 3}
{1, 2, 3}
채점하기









