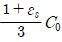
정전용량이 C0μF인 평행판 공기 콘덴서 판의 면적 에 비유전율 εs인 에보나이트 판을 삽입하면 콘덴서의 정전용량은 몇 μF인…
문제풀이 모드
0
정답률 : -
정전용량이 C0μF인 평행판 공기 콘덴서 판의 면적
에 비유전율 εs인 에보나이트 판을 삽입하면 콘덴서의 정전용량은 몇 μF인가?





채점하기









