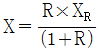
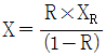
반송슬러지 농도를 XR, 슬러지반송비를 R이라고 할 때, 반응조 내의 MLSS 농도 X를 구하는 식은? (단, 유입수의 SS는…
문제풀이 모드
0
정답률 : -
반송슬러지 농도를 XR, 슬러지반송비를 R이라고 할 때, 반응조 내의 MLSS 농도 X를 구하는 식은? (단, 유입수의 SS는 무시함)




채점하기









